Аудио-википедияБаза знаний по hi-fi и high-end технике и комплектующим, отзывы и впечатления
Программа расчета силовых трансформаторов:

Trans50.rar
Трансформаторы серии ТС, размеры/габариты:
ТС-180 чертеж - https://meganorm.ru/Data2/1/4294743/4294743756.files/3.gif
Каталог "железа" завода Эйлор (Израиль) pdf
Размеры магнитопроводов типа «подкова» C-core:
Гэгэн писал:
Лучше сделать так, чтобы все секции вторичной обмотки коммутировались и работали полностью на 4, 8, и 16 Ом.
Леонид Пермяк неоднократно приводил на Форуме.
Комиссаров:
Тут все достаточно просто.
B=U*10E8/(4,443*F*Sc*N) (Гс)
Допустим, у нас трансформатор 16 квадратов, приведенка 5К, и мы хотим снять 10Вт на частоте 20Гц.
Индукция переменного тока для обеспечения линейности 0,4Тл.
P=U^2/R
U=SQR(10*5000)=223В
4000=223*10E8/(4,443*20*16*N)
Отсюда, N=3921 виток.
Ну а дальше - надо посчитать, зазор, при котором эти 3921 виток дадут индукцию постоянного тока в диапазоне 0,6…0,7Тл и посчитать результирующую индуктивность и убедиться, что она не менее 40Гн. Лучше 50…60Гн. Если меньше - сердечник не подходит.
На практике - на таком сечении получается хороший SE 5К 10..15Вт 100мА, вроде Tango X-5S.
Количество витков первичной обмотки 4200..4500. Активное сопротивление 140..150Ом, масса трансформатора около 6кГ, пополам железо - медь.
—
illarionovsp писал: Ещё чуть про 3000 втк. Поскольку известно, что трансформатор это компромисс, то встаёт вопрос: какой. Больше витков - больше индуктивность, но хуже кпд (у нас демократия. Пусть Евгений по-другому думает. Пусть думает, что транс можно проводом диам. 0.12 мотать.)..
Вы опять не туда палите :)
Дело тут в Индукции переменного тока.
То есть, по сути, в приведенном сопротивлении первичной обмотки.
Вся пляска начинается от Лампы. Если мы выходную мощность получаем за счет Тока на низком напряжении - витков много не надо. Но нужен толстый провод.
Если лампа с высоким внутренним, и мощность получается за счет высокого напряжения, тут без большого количества витков не обойтись.
Т.е. задача ставится так:
1. Какое приведенное к аноду сопротивление?
2. Какая мощность на частоте 1000Гц?
3. До какой частоты мы мы хотим сохранить полную мощность?
Дальше все зависит от того, какую индукцию сердечник «тянет» без искажений. Для SE на хорошем железе. это будет 0,4..0,5Тл.
Количество витков это не «прихоть» это необходимость, вытекающая из расчета.
Карта писал: На АП писали, больше параметров/информации не было. 1. Сложность в чем? 2. Что такое "качественно"?
Ну во первых, он у вас вообще неправильно разрезан. На ТОРе делается один разрез, а не пополам.
И вот этот разрез сделать строго нужной ширины и с нужной чистотой поверхности, и так чтобы пластины между собой не замыкались - задача не тривиальная.
—
J.Impro писал: Евгений, а Вы можете объяснить, показать преимущество низковольтных ламп с точки зрения совместной работы с ТВЗ? Я много раз перечитал пояснения Макарова к МГ
Положим, 5Вт снимаем.
С высоковольтной лампой транс 5К, напряжение на первичной обмотке (P=U^2/R) U=158В
С низковольтной лампой транс 1,5К, напряжение U=86В.
Это означает, что для одинаковой индукции надо вдвое меньше витков. Это проще.
Но мне больше нравится звучание высоковольтных решений. Токи меньше, блоку питания легче, всему легче.
—
У них одна методика измерения для всех трансформаторов. И эти цифры при одном и том же постоянном токе, смотрите внимательнее. Особенно на NC-20.
Буран, Вы подтвердили то, о чем я говорю.
Большой сердечник, много витков, большой зазор (кстати - сколько?) - все линейно. Я выше и говорил про преимущество больших сечений на слабых сигналах в басу.
А на аморфе - верно, все ровно, это свойство аморфа :)
Моя прога говорит, что при зазоре 1мм (прокладка 0,5) падение индуктивности 11% от 35Гн.
То же самое у Танго. Чем больше сердечник и зазор, тем меньше разница.
И еще - 1Гц при полосе 20Гц - это 5%.
А 1Гц при полосе 7Гц - это уже 14%.
Это разные результаты. Так что, делая выводы, надо быть тщательнее.
Иначе опять получается «на деревню дедушке».
—
Я тоже раньше думал, что введение постоянного подмагничивания решает проблему начальной проницаемости и падения проницаемости при снижении сигнала.
Исследовал этот вопрос. Оказалось - немного выравнивает, но не кардинально. Петля сохраняет свою форму.
Помогает только зазор.
—
Коэф. передачи по напряжению зависит только от соотношения числа витков в обмотках.
И зазор с проницаемостью тут совершенно ни при чем.
Важно то, что я вам всем пытаюсь объяснить вот уже несколько дней.
ЗАПОМНИТЕ. Для звукового трансформатора, как для слабосигнального, так и выходного, важна прежде всего НАЧАЛЬНАЯ ПРОНИЦАЕМОСТЬ, а вовсе не максимальная.
И исходя из НАЧАЛЬНОЙ ПРОНИЦАЕМОСТИ надо вести все расчеты. И при этом понимать, что на больших сигналах индуктивность будет расти, и оценивать при расчетах величины.
Далее - введение зазора линеаризует сердечник, но при этом мало влияет на нужную нам начальную проницаемость.
—
1. Напряженность переменного поля зависит от параметров сердечника, т.к. H=N*I/lc, а ток намагничивания I=U/Z=U/2pi*F*L, где L зависит от геометрии сердечника и динамически меняющейся величины - магнитной проницаемости.
2. С точки зрения работоспособности трансформатора необходимо обеспечить амплитуду переменной индукции в сердечнике трансформатора не более 0,5Тл на нижней граничной частоте, именно от этого приходиться «плясать».
3. Индуктивность рассеивания в выходных трансформаторах величина не значительная, т.к. количество витков вторичной обмотки мало, а инд. рассеивания первичной обмотки приводится ко вторичной через Ктр^2. В результате инд. рассеивания не имеет существенного влияния на полосу.
4. Увеличение зазора существенно линеаризует сердечник. При этом введение зазора мало влияет на начальную магнитную проницаемость, исходя из значения которой нам все равно необходимо рассчитывать трансформатор.
Таким образом, уменьшение зазора приводит только к кажущемуся росту индуктивности на сильных сигналах, тогда как уже на 1/10 максимальной мощности индуктивность без зазора падает в десятки раз, соответствующим образом сужая полосу, и, чтобы избежать этого эффекта все равно приходится мотать количество витков, исходя из проницаемости 1000-2000, и зазор на эту величину не влияет.
Наличие зазора и достаточного количества витков является необходимым условием для того, чтобы можно было снять с лампы заявленную мощность.
Порядок расчета трансформатора таков приведу «быструю методику» из десяти пунктов.-
1. Задаем приведеное к первичной обмотке сопротивление нагрузки Z, нижнюю граничную частоту F и мощность на этой частоте P.
2. Вычисляем напряжение на первичной обмотке U=SQRT(P*Z). Для 300В, например, U=SQRT(7*3500)=157В
3. По формуле B=U*10E8/(4,443*F*Sc*N), задаваясь индукцией 0,5Тл, вычисляем Sc*N. Например Sc*N=U*10000/(4.443*F*B)=157*10000/(4,443*20*0,5)=35336
4. Выбираем сердечник, исходя из разумного количества витков, например, 16кв.см. потребуют намотать не менее 2208 витков.
5. Вычисляем зазор в сердечнике дельта=N*I*mu0/Bподм, или 1,8E-6*N*I. Для 300В дельта=1.8Е-6*2208*0,08=0,000031м=0,3мм
6. Вычисляем влияние этого зазора на проницаемость mu0/muзаз=(дельта*mu0/lc)+1. mu0 берем максимальную проницаемость из испытаний сердечника без зазора, для M4, например, 11000. lc для примера возьмем 260мм, дельта расчитана выше 0,3мм. Получаем (0,3*11000/260)+1=13.7. Расчетная проницаемость mu=11000/13.7=802
7. Вычисляем индуктивность L=mu0*mu*N^2*Sc/lc=1.256E-6*802*2208^2*0,0016/0,26=30Гн
8. Вычисляем снижение начальной индуктивности. по формуле из п.6. Берем mu0=2000, получаем (0,3*2000/260)+1=3.3 и начальную проницаемость с зазором mu=2000/3.3=606, что означает снижение индуктивности на малом уровне сигнала 802/606=1,32 раза и индуктивность трансформатора 30/1,32=22,3Гн.
9. Вычисляем реактивное сопротивление обмотки Z1=2piFL=2802Ом.
10. Осмысливаем результат - для того, чтобы получить «честный» трансформатор на 3,5К, желательно, чтобы Z1=Z=3500, т.е. желаемая индуктивность L=28Гн. Для того, чтобы получить такую индуктивность, надо поделить 28/22=1.27, затем умножить вычисленное ранее количество витков на это число, получится Nкорр=2208*1,27=2804, затем верниться в п.5. и вычислить корректированный зазор. Получается 0,4мм, т.е. прокладка 0,2мм. (ремарка - казалось бы, индуктивность должна быть квадратична виткам, однако вследствие того, что приходится увеличивать зазор, квадратичная зависимость для SE трансформатора превращается в пропорциональную).
Как можно мотать Меньше? Только жертвуя индукцией переменного тока, или мощностью на нижней граничной частоте. Чаще всего на полную мощность считают не 20Гц, как мы это сейчас сделали, а 50Гц.
Но на практике полученные 2800 витков не вызывают проблем.
Далее можно приступать к конструктивным расчетам.
—
Наблюдатель писал: Остаётся загадкой, зачем же их секционируют... или Вы этого не делаете?
Есть еще распределенная емкость.
Но этот вопрос опять же в выходных трансах не является проблемой, т.к. вторичная обмотка или является экраном для секций первичной или вообще не землится. Секционирование 3+2, а если 4000 и больше в певичке, то 4+3.
Наблюдатель писал: Всё-таки секционируете. Не так, выходит, и "незначительна" индуктивность рассеяния.
Совместно с распределенной емкостью обмотки она дает резонанс. Поэтому страшна не инд. рассеяния, а ее взаимодействие с емкостью. — Далее, к вопросу о количестве витков, зазоре и индуктивности.
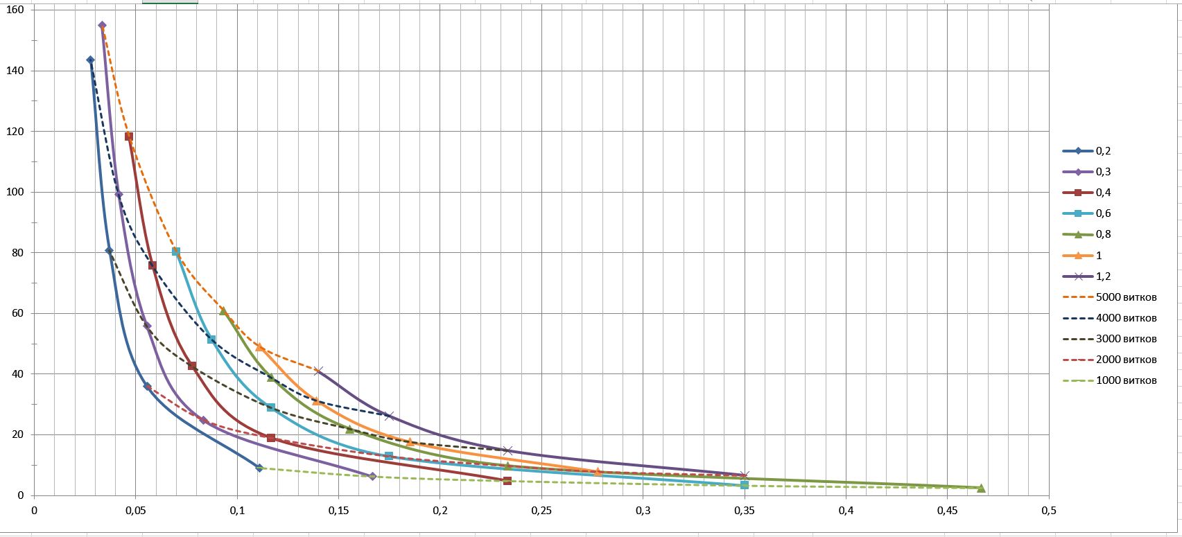
В 2010-м году в моей статье была дана визуализация взаимосвязи этих параметров, т.е. поле, в котором можно выбирать комбинацию для конкретного сердечника.
Приведу пример - сердечник 16 квадратов, индукция постоянного подмагничивания принята 0,7Тл.
Как читать номограмму?
Например, у нас ток ХХ 100мА.
Выбираем на оси Х точку 100 и рисуем вертикальную прямую.
Пунктирными линиями обозначено количество витков. Их можно задать любыми, провести между ними, подобно ВАХ.
Я задаю от 1000 до 5000 с шагом 1000
То есть - с током 100мА, если намотать 1000 витков - проводим от оси Х до продолжения салатовой пунктирной линии и из точки пересечения горизонталь на ось Y - на ней индуктивность. Получаем 10Гн. Сплошные линии - это зазоры. Ближайшая к точке, которую мы поставили - 0,2мм, ориентировочно 0,15мм.
То есть - 1000 витков, 10Гн, 0,15мм зазор, 100мА.
Если провести вертикаль выше, можно оценить, что меняется с увеличением количества витков, как растет индуктивность и как надо менять зазор.
То же самое для любого другого тока.
Любое значение будет работоспособно и обеспечит индукцию подмагничивания, заданную в поле ввода - в конкретном примере 0,7Тл.
Вот такой способ визуализации взаимосвязи параметров, помогает правильно подходить к вопросам оптимизации.
—
У EL34 в триоде внутреннее сопротивление 910Ом, оптимальное сопротивление нагрузки Ra-a=5К, экв. сопр. генератора равно 1153Ом
У EL34 в UL внутреннее сопротивление 1500Ом, оптимальное сопротивление нагрузки Ra-a=6К, экв. сопротивление генератора 2000 Ом
У EL34 в пентоде внутреннее сопротивление 15К, оптимальное сопротивление нагрузки Ra-a=10К, экв. сопротивление генератора 3500 Ом.
Именно поэтому пентодные УМ всегда охватывают ООС с катодной обмоткой или со вторичной обмотки от 12 до 30дБ - иначе искажения трансформатора чудовищные, и выходное сопротивление огромное, усилитель не способен контролировать АС.
UL частично решает проблему, но все равно приходится вводить ООС, хоть и меньшей глубины, 6-12дБ.
У пентода и UL есть одно преимущество - мощности больше, чем в триодном включении, примерно в два раза.
—
Buran81 писал: Вы можете объяснить популярно,что с того что для 100Гц индуктивность опустилась? Вы же сами пишите что надо считать начальную проницаемость а не максимальную (и индуктивность даже в самой начале намагничивания расчитана на самую низкую НЧ)
Беда в том, что ток намагничивания сдвинут по фазе относительно активного тока. И даже небольшие изменения в АЧХ сильно сказываются на ФЧХ.
На практике - если индуктивность трансформатора изменяется с частотой и уровнем сигнала, это очень хорошо слышно как окраска или недостаточность в определенных диапазонах.
Поэтому, надо считать индуктивность и количество витков, исходя из начальной проницаемости.
Кстати - именно слабосигнальную индуктивность измеряют LCR метры. И совершенно другие значения (в десятки раз) может выдавать метод «Ток ХХ от розетки».
Но, считая индуктивность, исходя из начальной проницаемости (1000…2000), не получаем никакого выигрыша по виткам относительно того же самого ПЛ или ШЛ.
Введение же самого небольшого зазора (0,04мм, к примеру) почти не влияет на начальную проницаемость, но существенно снижает Sh (см. формулу Партриджа). И, в результате, увеличив количество витков всего в 1,2…1,5 раза, получаем выигрыш по искажениям в 10 раз. Разве плохой бонус?
Вот и все элементарные аргументы против неразрезных сердечников из материалов с низкой начальной проницаемостью, таких, как трансформаторная сталь.
Существуют более «ровные» по кривой mu(В) материалы. Но у них низкая индукция насыщения, как правило, 1..1,5Тл. Они применимы в слабосигнальных тр-рах, в том числе и в виде ТОРов.
Я Вам пытаюсь втолковать то, что описано еще в 1939-м году и подтверждается 80-ти летним опытом во всем мире.
Но стереотипы, пришедшие с силовых трансформаторов, сильны.
Зазор - это не вынужденная мера для борьбы с индукцией постоянного тока. Это инструмент для получения определенных параметров сердечника.
Идеальной петлей гистерезиса является прямой отрезок. Именно такой она становится при введении зазора. Ширина петли гистерезиса - это гистерезисные потери, ее кривизна - это искажения.
Искажения будут меньше с зазором. Это аксиома.
Искажения обратно пропорциональны квадрату витков, т.е. в полтора раза больше витков - вдвое меньше искажения, при той же индукции и на том же сердечнике.
Т.е. введение зазора значительно уменьшает Sh, пропорционально снижая искажения, и заставляет больше намотать, квадратично уменьшая искажения.
Кроме того, термин «ток подмагничивания» некорректно применять к звуковым трансформаторам.
Ведь I=U/2piFL
Но получается тавтология, т.к. в этой формуле L зависит как от F, так и от U. Поэтому его применяют только к силовым трансформаторам, в которых U и F являются константами.
—
Дело в том, что емкость и Ls находятся в строгом противоречии.
Для уменьшения Ls надо увеличивать ширину каркаса и уменьшать его высоту,
Для уменьшения емкости наоборот, надо уменьшать ширину каркаса и увеличивать его высоту.
Для уменьшения Ls надо уменьшать толщину прокладок между слоями и, главное, между секциями.
Для уменьшения емкости надо увеличивать толщину прокладок.
Уменьшение диаметра провода уменьшает Ls, но увеличивает емкость, и наоборот.
Все, что уменьшает Ls, увеличивает емкость. Такова физика.
Карта:
Увидел здесь расчет господина Манакова для 6п14п:
Тор
Сечение железа 7-8 кв.см
Первичная обмотка 2 х 1800 витков, провод 0.2 - 0.22
Вторичная обмотка 120 витков, провод 0.4 - 0.43
Отвод на нагрузку 4 Ома от 80го витка.
Порядок намотки:
1. 900 витков первички
2. 120 витков вторички
3. 900 витков первички
4. 120 витков вторички
5. 900 витков первички
6. 120 витков вторички
7. 900 витков первички
Секции первичной обмотки соединяется последовательно.
Секции вторичной обмотки-параллельно.
При этом важно не ошибиться в количестве витков вторичных секций при намотке.
Разное количество витков в секциях приводит к появлению выравнивающего тока, снижению КПД и индуктивности трансформатора.
Излишне напоминать, что витки вторичной обмотки желательно располагать по всей окружности тора.
Тор изготавливали:
При напряжении на нагрузке 4 ома 0.7 вольта, тор 10 кв. см, 6п43п на выходе
АЧХа получилась по -3dB от 5Гц до 40кГц…
Отнес расчеты мотальщикам, сказал - сечение 10 кв.
При ширине ленты 40 мм намотка транса возможна только на одном станке из всего парка.
Предлагают изготовить образец с другой схемой намотки для снижения трудоемкости.
Boy
fakel, если сделать катодную обмотку равной УЛ, то при подключении экранной сетки к плюсовой шине мы имеем две обратных связи. Ультралинейную, через экранную сетку, и обычную через первую. Это дает дополнительное снижение искажений.
У меня есть однотактный усилитель на 6П14П с катодной обмоткой, которая представляет собой 22% от суммы анодная + катодная. (Оптимально 24% для пентодов)
В таком виде лампа звучит лучше, чем в ультралинейном и лучше, чем в триодном. При выходной мощности близкой к пентодному режиму и демпфактору близкому к триодному (примерно 2.5). Причем при очень умеренных габаритах трансформатора (сечение ок. 4.5 кв.см), нижняя частота где-то 10-15 Гц. Это благодаря глубокой местной ОС, которая составляет примерно 18дб.
Недостаток- довольно прилично уменьшается усиление выходной ступени. 2.5 раза против, кажется, 20. Требуется большее усиление от драйвера. Для получения максимальной вых. мощности от драйвера нужно 65-70 вольт амплитудного против 13 В в чисто пентодном.
Также 6П14П заменялась на 6П18П и 6П43П с подбором режимов. Разницы в звучании абсолютно никакой. Оно очень нейтральное, без какого либо окраса. Т.е. глубокая обратная связь полностью невелирует различия ламп. Пробовалась даже очень старая 6П14П с сильными наплывами и ослабленной эмиссией. Результат тот же, в смысле на звуке это не отражается никак.
В двухтактной схеме, например, это делает ненужным подбор ламп.
К сожалению для тетродов оптимально 43%. Это превращает выходную ступени практически в катодный повторитель.
Да, это все к тому, что не обязательно боятся обратной связи через экранную обмотку и гасить ее. Можно наоборот использовать ее с неплохими результатами.
Alex_Dnepr
При заказе ТВЗ на ТОРах от намотчика требую следующее:
1. каждая обмотка (секция) должна быть намотана по всему сектору 360°. Если вторичка имеет отвод, то он берётся не от части сектора 360°, как делают некоторые намотчики, а каждая часть вторички укладывается на свои 360° (требуйте!), иначе испортите представление о ТОРе как ТВЗ (что, как видим, имеет место быть).
2. число секций - нечётное. Придерживаюсь следующей намотки: 1/6 I - II - 1/3 I - II - 1/3 I - II - 1/6 I. Секции первичек - последовательно, вторички - только в параллель. Цитата Д.Андронникова:
«Необходимо помнить, что общее число секций первичной и вторичной обмотки должно быть нечетным, а крайние секции (т.е. непосредственно лежащая на каркасе и внешняя) должны принадлежать одной обмотке и иметь половинное число витков по отношению к внутренним секциям той же обмотки. Только в этом случае выполняется условие компенсации полей рассеяния соседних секций и индуктивность рассеяния будет соответствовать расчетной.»
Манаков на АП для ТОРов рекомендовал примерно тоже, только 1/4 I - II - 1/4 I - II - 1/4 I - II - 1/4 I и говорил, что разбаланс по токам покоя ламп в РР для ТОРа критичен не более чем для Ш или ПЛ (спорить с ним).
Для тех, кто пользуется приборами, могу сказать, что ничего плохого в параметрах ТОРов намотанных как описано выше, не усматриваю. Для тех, кто утверждает, что ТОР не звука - аргументируйте с точки зрения физики, параметров или хотя бы уж изотерики (мало ли…))) иначе - разговор ни о чём.
А по поводу ТОРов для SE - я заказывал у Сергея из Полтавы (Serg01). Обратитесь к нему. Дроссели тоже мотает. Один из результатов применения такого ТВЗ описан в моей недавней теме «Звучащие SE-решения» https://hi-fidelity-forum.com/forum/thread-180889.html
Svjatoslav
При намотке виток к витку по внутреннему диаметру плотность намотки не только не страдает, но и максимальна.
Так как в «пропуски» по наружному диаметру плавно, равномерно укладываются следующие слои. Рыхлость укладки станком примерно на 30% больше.
Только при ручной укладке возможна надёжная, чётко послойная изоляция, минимально возможное напряжение между соседними витками, и участки витков не висят в воздухе.
Станок фактически мотает тор в навал.
Василич
Торы выходники всегда убивают все трансформаторы ТВЗ на всех других сердечниках и своей абсолютной симметричностью и малым активным сопротивлением первички и большой индуктивностью первички и малым диаметром витка и 100% использованием всей длины окружности бублика и ничтожным полем рассеивания (положили ТВЗ на ТС ,стягиваем одной шпилькой и ни каких наводок нет вообще)!!!! ТВЗ на ТОРе не требует большого секционирования. Первичка,вторичка со средним выводом и опять вторичка для двухтакта. Всё магнитное поле заключено между двумя вторичками включёнными последовательно.Все заводы мотают дросселя для БП и ТВЗ с разрезным сердечником для ОДНОТАКТОВ и для ДВУХТАКТОВ в том числе по вашему заказу с разрезным сердечником и цена ТОР ТВЗ с разрезным сердечникам одинакова как и с неразрезным и ТВЗ ТОР симметричной намотки тоже имеет одинаковую цену как и с обычной намоткой.Я применяю только симметричные ТВЗ и только ТОРы. При сравнении на усилителе однотакте на 300В лампе в котором установлен межкаскадник и выходник от Аудионоте намотанные серебряным проводом и стоившие бешеную кучу бабла и ТОРа ТВЗ 80 имеющего сердечник с зазором и мощность на частоте 50Гц 80ватт,последний не уступил по качеству воспроизведения и по измеренным параметрам усилителя ,ТВЗ серебряному Английскому. Ни кто не отличил звучит Английский ТВЗ за 1000 фунтов или ТОР стоимостью 14$. Так что выводы делайте после того когда сами попробуете ТОРы , правильно намотанные а не 8 секций первички и 8 секций вторички,у которого завал на ВЧ будет с 8 кГц уже. Больше 2-3 секционирования нельзя делать ТВЗ качественный. Пусть КПД упадёт на 2% но за то АЧХ и ФЧХ будут прекрасные.Кроме того полезно почитать литературу,где там на западе и в Америке давно провели сравнение и измерения параметров ТВЗ фирменных Танго,Вестерн и пр. и ТОРа ТВЗ, там измерениями и графиками разбили все сказки о резком насыщении ТОРа,искажениях и пр. Самое мягкое насыщение у ТОРа по сравнению с другими ТВЗ. Вся сложность намотки ТОРа была в том что нужны станки для намотки и поэтому только завод может намотать или сам челноком мудохаться 3 дня будешь,когда на обычных катушках ты за это время 20 ТВЗ намотаешь. Вот поэтому и распускаются сказки МОТАЛЬЩИКАМИ обычных ТВЗ о непригодности ТОРов. А Вячеслав Житомир,Сергей Полтава прекрасно мотают ТВЗ на ТОРах. Не хотите что б женщина мотала вам ТВЗ закажите у Сергея,мужчина намотает вам ТВЗ при чём грамотный специалист не чета всем вам,который собаку съел на намотке ТОРов,вам собирает усилители ламповые и сам испытывает на них сотни ТОРов,находя наилучший вариант. И Вячеслав съел собаку в этом деле,не первый год мотает ТОРы ТВЗ и женщины спецы покруче мужиков бывают. Мне они мотали абсолютно одинаковые 30 штук партию ТОРов ТВЗ. Ни какого разброса. Если первичка для двухтакта 42+42 ом плечи и индуктивность 70+70Гн то во всех так и есть! Балаболы вы!
Будущее в HI-END только за ТОРами!
—